DOI: https://doi.org/10.46380/rias.vol6.e295
Vol. 6 (2023), e295
Uso sustentable de la biodiversidad y manejo de áreas protegidas
Artículo científico
Protección y gestión holística de bosques de Nothofagus en la Península de Brunswick, Chile
Holistic conservation and management of Nothofagus forests on the Brunswick Peninsula, Chile
Proteção e gestão holística de florestas de Nothofagus na Península de Brunswick, Chile
Leon Hauenschild / Swedish University of Agricultural Sciences, Sweden / Leon.Hauenschild@slu.se
Gabriel Zegers / Asociación de Investigadores del Museo de Historia Natural Río Seco, Chile / gabrielzegersm@gmail.com
Lars Östlund / Swedish University of Agricultural Sciences, Sweden / Lars.Ostlund@slu.se
Recibido: 12/12/2022 Aprobado: 20/7/2023 Publicado: 10/10/2023
RESUMEN
El objetivo de este estudio fue evaluar el impacto del uso histórico del bosque costero de Nothofagus, sobre su valor natural y cultural a lo largo de la costa oriental de la Península de Brunswick, Chile. Para ello se revisaron archivos históricos del territorio y se evaluaron los cambios de estructura forestal a lo largo de transectos desde la costa hacia el interior, en tres sitios distintos. En cada parcela se midieron los diámetros y el área basal y se tomaron muestras dendrocronológicas de los árboles. Además, se midieron los árboles muertos y se registraron los signos de intervención histórica. Los resultados indican que estos bosques fueron explotados mediante tala y que existen diferencias significativas entre las parcelas taladas y las no taladas, que entre los sitios. Las variables que difirieron fueron los diámetros, la edad y las áreas basales de los árboles muertos y D. winteri. En algunos casos fue posible vincular las diferencias entre las parcelas de un sitio con los usos históricos. El tiempo transcurrido y la limitada extensión espacial de la explotación forestal presentan una oportunidad real para la conservación y restauración de esos bosques con altos valores naturales y culturales.
Palabras clave: conservación holística, ecología histórica, historia forestal, restauración ecológica, territorios ancestrales
ABSTRACT
The objective of this study was to evaluate the impact of the historical use of the coastal Nothofagus forests on their natural and cultural value along the eastern coast of the Brunswick Peninsula, Chile. For this purpose, we reviewed historical records on the territory and evaluated changes in forest structure along transects from the coast to the interior at three different sites. On each plot of the transects, we measured diameters and basal area and took dendrochronological samples from the trees. We also measured dead wood and recorded signs of historical intervention. The results indicate that these forests were logged, and that there were more significant differences between logged and unlogged plots than between sites. Variables that differed were diameters, age, and basal areas of dead trees and of D. winteri. In some cases, it was possible to link the differences between plots of one site to its historical uses. The time elapsed and the limited spatial extent of logging present a real opportunity for the conservation and restoration of these forests with high natural and cultural values.
Keywords: ancestral lands, ecological restoration, forest history, holistic conservation, historical ecology
RESUMO
O objetivo deste estudo foi avaliar o impacto do uso histórico da floresta de Nothofagus sobre seus valores naturais e culturais na costa leste da Península de Brunswick, Chile. Para isso, os registros históricos do território foram analisados e as mudanças na estrutura da floresta foram avaliadas ao longo de transectos da costa para o interior em três sítios diferentes. Em cada parcela do transecto, foram medidos os diâmetros, a área basal e as amostras dendrocronológicas das árvores. A madeira morta também foi medida e os sinais de intervenção histórica foram registrados. Os resultados indicaram que essas florestas foram exploradas e que houve diferenças mais significativas entre as parcelas cortadas e não cortadas do que entre os sítios. As variáveis que variaram foram o diâmetro, a idade e as áreas basais das árvores mortas e D. winteri. Em alguns casos, foi possível vincular as diferenças entre as parcelas aos usos históricos de cada sítio. O tempo decorrido e a extensão espacial limitada da exploração madeireira representam uma oportunidade real para a conservação e a restauração dessas florestas com altos valores naturais e culturais.
Palavras chave: conservação holística, ecologia histórica, história da floresta, restauração ecológica, territórios ancestrais
INTRODUCCIÓN
Lo que distingue a la región de Magallanes de otras partes de América, es que lo profundos cambios sociales y ecológicos de la colonización tuvieron lugar en el siglo XIX. No obstante, y a pesar de mostrar un grado aparentemente bajo de alteración humana en comparación con otros tipos de paisajes, la mayoría de los ecosistemas forestales del mundo tienen una larga historia de uso humano y son producto de ello (Denevan, 1992). Por esto, se clasifican como paisajes domesticados (Clement y Cassino, 2020; Östlund y Norstedt, 2021) más que prístinos. El sur de la Península de Brunswick no es una excepción, y las actividades humanas de diversa índole han influido y moldeado el paisaje en diferentes grados durante siglos (Östlund et al., 2020).
Los asentamientos humanos de sociedades cazadoras-recolectoras litorales ya estaban presentes 7440 cal. AP (edad radiocarbónica calibrada en años antes del presente, Prieto et al., 2013). Los indígenas locales eran principalmente los kawésqar, un pueblo litoral que navegaba en canoas el Estrecho de Magallanes y los canales adyacentes (Fitz-Roy, 1839; Martinic, 2006). Los kawésqar solían establecer campamentos en las costas de la península, donde aprovechaban los bosques para leña y otros productos forestales (Östlund et al., 2020). A finales de la década de 1860, colonos chileno-europeos comenzaron a colonizar la zona. Con la creciente inmigración europea, la población indígena fue cada vez más desplazada, como el caso de los kawésqar, o masivamente asesinada, como ocurrió con los selk'nam. Estas persecuciones provocaron la casi desaparición de las poblaciones indígenas remanentes de sus territorios ancestrales (Harambour y Barrena, 2019).
Con la recesión posterior a la Primera Guerra Mundial y la apertura del Canal de Panamá, la economía de la región entró en crisis y se redujó drásticamente la importancia del Estrecho de Magallanes como paso interoceánico. Esto, entre otros factores, provocó el abandono y la despoblación de algunas partes de la región. Los derechos de propiedad en la zona sufrieron un cambio significativo durante la reforma agraria nacional de los años sesenta y setenta (Zegers et al., 2019), época en la que también cobraron impulso los esfuerzos para proteger las áreas naturales (Martinic, 2006). Sin embargo, el Bien Nacional Protegido Cabo Froward no obtuvo su estatus de protección hasta 2006 con el Decreto 467 (Ministerio de Bienes Nacionales, 2006), año a partir del cual se encuentra bajo concesión a corto plazo.
Desde el punto de vista de los valores naturales, la zona se encuentra en transición entre los ecosistemas costeros y los continentales, entre los bosques perennes y los caducifolios de Nothofagus spp., caracterizándose por un mosaico de diferentes bosques y de turberas hasta la tundra alpina y las zonas nivales (Luebert y Pliscoff, 2018). Esta rica historia cultural y diversidad natural, así como la creciente presión originada por el turismo poco gestionado en los últimos años (Rosenfeld et al., 2020), requieren la elaboración de un concepto de conservación y gestión que proteja el patrimonio cultural y promueva y restaure los valores naturales.
En zonas con una larga historia de uso de bosque por parte de los indígenas, su influencia en el paisaje debe ser visibilizada e incorporada en la gestión, para no perpetuar la idea errónea de conservar «lo prístino» (Östlund y Norstedt, 2021). Denevan (1992) denomina mito de lo prístino (pristine myth) a este esfuerzo por preservar las supuestas «condiciones originales». La deconstrucción de este mito y la inclusión de los conocimientos y la participación indígena, no solo pueden mejorar los resultados de la conservación, sino también guiar el camino hacia prácticas más éticas e inclusivas en la protección de los territorios ancestrales.
Aunque estaba lejos de ser prístina cuando los colonos chilenos y europeos colonizaron la zona en el siglo XIX, no fue hasta la explotación industrial de la primera mitad del siglo XX, cuando el impacto se hizo mucho más marcado y el cambio de paisaje mucho más drástico. Lo más notable fueron las actividades de tala de árboles y caza de ballenas (Quiroz, 2018). Aunque se desconoce el alcance espacial exacto, existen registros de archivo que dan un testimonio inequívoco sobre la explotación de la franja costera, tanto marina como terrestre, y la posterior transformación que sufrieron el litoral y bosques.
A la luz de esta larga y diversa historia de uso del bosque, es imperativo dejar atrás la dicotomía de naturaleza y cultura que fundamenta el conservacionismo occidental (Loos, 2021), y abarcar tanto el patrimonio cultural precolonial y moderno como el natural de la zona. La idea del palimpsesto (del griego «raspado nuevamente», en referencia a un pergamino reutilizado) ofrece tanto una metáfora para describir las huellas superpuestas que diversos procesos naturales y antrópicos han dejado en el paisaje, como un marco teórico. A partir de este último, se pueden establecer medidas concretas de gestión que integran el patrimonio natural y cultural (Rivera-Núñez y Fargher, 2021).
El objetivo de este estudio fue precisamente evaluar el impacto del uso histórico del bosque costero de Nothofagus, sobre su valor natural y cultural a lo largo de la costa oriental de la Península de Brunswick, Chile. Además, de plantear cómo estos valores pueden ser protegidos, conservados y, en algunos casos, restaurados de manera holística. Las preguntas de investigación fueron: ¿Cuál es la historia del uso del bosque en la zona y qué signos de este uso pueden encontrarse en los sitios estudiados? ¿Cómo difieren los indicadores de estructura forestal y naturalidad en general entre los sitios de estudio con diferentes usos del bosque y también con el aumento de la distancia a la costa? ¿Cuáles podrían ser las recomendaciones para la protección y restauración de los valores naturales y la conservación y visualización del patrimonio cultural? Por último, el estudio pretendió contribuir al discurso de la conservación y la restauración mediante un debate crítico de algunos conceptos.
MATERIALES Y MÉTODOS
El área de estudio se encuentra en el extremo sur del continente americano, en la Península de Brunswick. Administrativamente pertenece a la municipalidad de Punta Arenas, región de Magallanes y comprende partes del Bien Nacional Protegido Cabo Froward (figura 1).
Figura 1. Ubicación general del Bien Nacional Protegido Cabo Froward
|
|
Fuente: Esri Maps, Google Satellite y UT Geodata.
Esta área protegida de concesión se extiende desde la desembocadura del río San Pedro, en el norte, hasta cuatro kilómetros al este de Cabo Froward en el sur. Comprende una superficie de 9888.54 ha (Ministerio de Bienes Nacionales, s.f.). Según la clasificación de Fuenzalida (1967), el clima es mayoritariamente transandino con degeneración esteparia, con una precipitación anual en torno a los 600 mm que se distribuye de forma desigual a lo largo del año. La temperatura media anual es de 6.4°C en la estación Carlos Ibáñez, Punta Arenas (Dirección Meteorológica de Chile, 2023), aunque Olave-Solar et al. (2008) destacan la gran variabilidad climática a lo largo de la península, donde la temperatura media baja en gradiente de norte a sur.
El paisaje de la zona de estudio es de formación glaciar, con cerros redondeados que no superan los 800 m.s.n.m.; hacia la orilla del estrecho, el relieve se nivela. Aunque la mayor parte de la zona está cubierta por bosques de Nothofagus de diferentes tipos, las turberas constituyen la forma más destacada de paisaje abierto, especialmente en las zonas planas con mal drenaje en los fondos de los valles. El ecosistema forestal del área de estudio se denomina bosque mixto templado-antiboreal andino de Nothofagus betuloides – N. pumilio (Luebert y Pliscoff, 2018). Dentro de los bosques del área de estudio se distinguen dos tipos: bosque de Coihue de Magallanenes – Canelo, donde N. betuloides (mirb.) Oerst 1871 forma el estrato dominante y el estrato inferior está constituido por Drimys winteri (J.R. Forst & G Forst), y bosque mixto de Lenga – Coihue de Magallanes, donde N. pumilio (Poepp. y Endl.) Krasser 1896 y N. betuloides son codominantes (Ruíz y Doberti Ltda., 2008).
Sitios
Se eligieron tres sitios para el estudio: Bahía El Águila, Bahía del Indio y Bahía San Nicolás con dos subsitios interiores. Todos ubicados a pocos kilómetros al suroeste de Cabo San Isidro, en la costa oriental inferior de la Península de Brunswick (figura 1). Estos sitios muestran distintas historias de uso del suelo o albergan parches de bosque relativamente prístinos (subsitios Bahía San Nicolás). Se eligió Bahía El Águila, principalmente, por su gran importancia en el desarrollo industrial temprano del área en el siglo XX, con una estación ballenera, un astillero y posteriormente, un aserradero. Se seleccionó Bahía del Indio, por la presencia de restos arqueológicos de un campamento indígena en forma de varios conchales; además, hay una cabaña moderna del siglo XX que fue habitada por un colono y un campamento turístico adyacente. Hasta finales de la primera mitad del siglo XX, también hubo un aserradero en Bahía San Nicolás. Hoy en día esta bahía es un destino popular para las visitas turísticas, donde los excursionistas acampan en su camino a Cabo Froward. Finalmente, dentro del macrositio Bahía San Nicolás, se eligieron dos subsitios de una parcela cada uno ubicados al interior. Estos subsitios parecían prometedores debido a la madurez del bosque, que indicaba la falta de influencia humana reciente y, por lo tanto, una buena base de comparación.
Archivo e investigación bibliográfica
Se revisaron diferentes archivos y literatura publicada sobre la historia de la zona. En función de esto, se consultaron en la biblioteca municipal Gabriela Mistral de Punta Arenas, los archivos de periódicos locales, particularmente, La Prensa Austral y El Magallanes, que comenzaron a publicarse en 1942 y 1894 respectivamente. Además, se consultaron en los archivos fotográficos del Instituto de la Patagonia y de la Empresa Nacional del Petróleo, las fotografías aéreas que se tomaron en el Catastro Nacional de Bosques (también conocido como «Informe Haig») entre los años 1945 y 1946, con dos imágenes laterales y una vertical en cada sitio a lo largo de diferentes transectos, cubriendo así la mayor parte del área desde diferentes ángulos (Araya, 2020). Toda la investigación histórica fue realizada en enero y febrero de 2022.
Evaluación de estructura y valor natural y cultural de los bosques
El trabajo en terreno fue realizado a principios de febrero de 2022. Para la evaluación estructural del bosque se establecieron transectos que se adentraban en el interior de cada sitio costero. En Bahía El Águila y Bahía del Indio se estableció un transecto en cada sitio. En San Nicolás se establecieron dos, dado que en este sitio solo existía una franja angosta de bosque costero en la cual no se podía acomodar un solo transecto largo. Cada 100 metros se estableció una parcela de muestreo. Sólo se consideraron los sitios dentro del bosque. La primera parcela se estableció a unos 50 metros de la orilla (siendo la base de las actividades de impacto). La última parcela, es decir, el final del transecto se alcanzó cuando no hubo más signos de intervención humana en el bosque durante al menos dos parcelas consecutivas. La longitud exacta de cada transecto fue determinada en terreno, en función de las condiciones de cada sitio. El transecto de Bahía del Indio fue de aproximadamente 1000 metros (11 parcelas); la de Bahía del Águila fue de aproximadamente 800 metros (ocho parcelas) y las de Bahía San Nicolás fueron de aproximadamente 300 metros (cuatro parcelas) y aproximadamente 400 metros (cinco parcelas). Junto a las dos parcelas del subsitio en San Nicolás, se muestrearon un total de 30 parcelas. Se eligieron parcelas circulares en vez de rectangulares para reducir el sesgo (Paul et al., 2019). El radio de una parcela se fijó en aproximadamente 17.84 metros para que cada parcela cubriera un área de 0.1 ha. Por razones prácticas y logísticas, se eligió muestrear una cuarta parte de cada parcela circular. Cuando el terreno lo permitió, se crearon también dos parcelas satélites de relascopio por cada parcela principal y perpendiculares al transecto. De esta manera, se pudo obtener una referencia de las zonas adyacentes. En total se muestrearon 53 parcelas de relascopio (Bahía El Águila 16, Bahía del Indio 17 y Bahía San Nicolás 20). Se describieron todas las parcelas y parcelas satélites, centrándose en sus características ecológicas específicas y en la presencia o ausencia de cualquier signo de modificación cultural, como tocones (signo de tala) o descortezamientos (signo de actividad indígena).
Dentro de cada uno de los cuartos de parcela se registraron la altura de los dos árboles más altos (Nothofagus) y el diámetro a la altura del pecho (DAP): diámetro del tronco medido a 1.30 m, de todos los árboles con un DAP mayor a 10 cm. En el centro de cada parcela se registraron el área basal de cada especie arbórea viva y de los árboles muertos en pie y derribados. Para esto se utilizó la apertura de 1 cm de un relascopio Nordforest con cadena de 50 cm. Para estimar la edad del rodal, se extrajeron muestras dendrocronológicas mediante la barrena de Pressler. Para eso se eligieron al azar entre dos y seis ejemplares de las dos especies dominantes/codominantes de Nothofagus, así como de Drimys winteri (Östlund et al., 2020). Para evaluar el valor natural de cada parcela, se calculó el volumen de los árboles muertos dentro del cuarto de parcela. Para esto, se tomaron las dimensiones (longitud, diámetro medio del árbol muerto derribado y en pie con un diámetro mayor a 10 cm).
Análisis de datos
El análisis de los datos se realizó en R studio (versión 1.2.5019). Se usó la prueba T de Welch o la prueba U de Mann Whitney para probar las diferencias en las variables estructurales entre las parcelas con y sin tala. Para probar cualquier diferencia en las variables entre los sitios y para probar las diferencias en el área basal entre las parcelas principales y las parcelas satélite, se realizaron análisis de varianza con dos factores (ANOVA) o pruebas de Kruskal Wallis. Para comprobar si existe alguna relación entre las variables estructurales y la distancia a la costa, se realizaron correlaciones de Pearson y Spearman. Por último, se comprobó la idoneidad de las variables correlacionadas para ajustarse a un modelo lineal, lo que aportaría más cualidades predictivas. Para la significación de todas las pruebas estadísticas se asumió una probabilidad del 95% o superior (p < 0.05).
RESULTADOS
Los tres sitios seleccionados fueron tanto el escenario de actividades indígenas como de actividades de explotaciones modernas en el siglo XX. Sin embargo, el desarrollo particular de la historia del uso del bosque difiere de un sitio a otro.
Bahía El Águila
Aunque los datos sobre la historia anterior a la colonización chileno-europea fueron escasos, existieron al menos cinco hallazgos arqueológicos en la bahía que dieron cuenta de una parte del uso histórico de la zona en los últimos mil años. Se trató de conchales, que indicaron la presencia de un campamento de pasaje indígena. A diferencia de los asentamientos más permanentes, se cree que estos lugares se utilizaban de forma temporal en relación con las actividades de caza y solían estar situados en rutas de viaje frecuentes (García-Piquer et al., 2021). La historia industrial del sitio comenzó con la apertura de una ballenera en 1905, que funcionó hasta 1916. De esta se conservan algunos vestigios, como las ruinas de las estructuras de los edificios, del muelle y partes de la maquinaria (Morello y San Román, 2012). Sin embargo, la mayor parte fue subastada y el resto se transformó en un pequeño astillero; en 1947 se convirtió en un pequeño aserradero que operó en la zona hasta 1966 (Asociación de Investigadores del Museo de Historia Natural Río Seco, 2017). En cuanto a los resultados de las fotografías aéreas el sitio no se encontraba inmediatamente debajo del curso de los vuelos, por lo que se usaron las imágenes laterales más al norte. La franja costera en la mitad sur de la bahía, hasta la Bahía del Indio, mostró signos de una fuerte tala en forma de desmonte (United States Air Force, 1949).
Bahía del Indio
Hubo al menos dos sitios arqueológicos registrados en la parte norte de la bahía. Ambos eran conchales (Ruíz y Doberti Ltda., 2008). Además, se constató que un colono vivía en la cabaña del sitio pastoreando su ganado, hasta que debió desalojar el lugar por cuestiones de derecho de propiedad en la década de 1980 (Subsecretaría de Turismo, 2020). Aunque los autores del estudio no cuentan con registros sobre la explotación forestal industrial del sitio, las fotos aéreas mostraron signos evidentes de actividades de tala de alto impacto en la década de 1940. En este sitio no se dispuso de un sobrevuelo inmediato, por lo que se analizaron las imágenes laterales. El dosel forestal costero de la zona estaba mucho más abierto que el actual y que el de los bosques situados más al interior en ese entonces, según se apreció en el Rollo 457, R203-205 (United States Air Force, 1949).
Bahía San Nicolás
En este sitio, todas las operaciones de tala cesaron con el abandono del aserradero de Bahía San Nicolás a fines de 1949, luego de que un terremoto provocara un derrumbe y deslizamiento de tierra en el cerro contiguo, destruyendo edificios y cobrando dos vidas humanas. Al momento del presente estudio, del aserradero solo se encontraron algunos vestigios de la maquinaria in situ y ningún registro de explotación forestal a escala industrial después del accidente. Las fotos aéreas de 1945/1946 del Rollo 461, V21, (United States Air Force, 1949) revelaron alteraciones del paisaje forestal, especialmente en la ladera del cerro detrás del antiguo edificio del aserradero. El dosel forestal estaba mucho más claro allí, lo que indicó un fuerte impacto de la tala.
Estructura forestal
Las variables de estructura del bosque variaron considerablemente entre las parcelas y, en los casos DAP de N. betuloides y D. winteri, también variaron entre sitios (Anexo). Esto fue más pronunciado en el DAP de D. winteri, que fue significativamente más alto en Bahía del Indio que en los otros dos sitios. Mientras que el DAP de N. betuloides, fue significativamente más alto en Bahía El Águila que en los dos otros sitios (tabla 1). En cuanto a la edad, a nivel de la península, sólo el 13% de los árboles muestreados anteceden la colonización del sitio en 1843 (tabla 1).
Actividad maderera y estructura forestal en Bahía El Águila
Se tomaron muestras cada 100 m en ocho parcelas a lo largo de un transecto dirigido desde la orilla hacia el interior. La primera de ellas se ubicó a 50 m de la playa, dentro del bosque. Las cuatro primeras parcelas cercanas a la playa mostraron signos de tala, no así las cuatro últimas (hacia el interior). El análisis dendrocronológico mostró que los árboles del sitio tenían una edad de entre 17 y 270 años. El DAP de todos los árboles de las parcelas del sitio osciló entre 10 y 82 cm. Alrededor del 27% de los árboles barrenados en Bahía El Águila antecedieron el establecimiento de la ballenera en 1905. Sin embargo, la gran mayoría de éstos se encontraron en las parcelas no taladas hacia el interior del bosque y solo un individuo, en una parcela talada cerca de la orilla. Aproximadamente el 59% de todos los árboles del sitio antecedieron a la instalación del aserradero en 1947, pero menos de un tercio de ellos se encontraron en las parcelas taladas. El área basal de N. betuloides y de D. winteri osciló entre 23 y 64 m²ha-1. Los árboles muertos tenían un área basal entre 2 y 27 m²ha-1. El volumen de árboles vivos osciló entre 142 y 816 m³ha-1 y entre 39 y 370 para los árboles muertos (tabla 1).
Actividad maderera y estructura forestal en Bahía del Indio
Se tomaron muestras en 11 parcelas a partir de la cabaña cercana a la orilla, subiendo levemente la ladera hacia el interior del bosque. Las primeras cinco parcelas mostraron claros signos de tala, mientras que las últimas seis parcelas no. El DAP de todos los árboles de las parcelas del sitio osciló entre 10 y 68 cm. La edad de los árboles en este sitio en su conjunto osciló entre 17 y 290 años. Sin embargo, hubo grandes diferencias dentro del sitio. En las parcelas adyacentes a la cabaña del colono, solo uno de los árboles muestreados antecedió a 1980, década en la que el colono se vio obligado a abandonar la zona. En el resto de las parcelas con signos de tala, la edad media era de 98 años, y en las parcelas sin signos de tala, de 137 años. No se comprobaron estas diferencias estadísticamente, debido al insuficiente tamaño de las muestras. El área basal media de N. betuloides, y de D. winteri osciló entre 20 y 120 m²ha-1. Los árboles muertos tenían un área basal de entre 5 y 36 m²ha-1. El volumen de árboles vivos osciló entre 142 y 876 m³ha-1, y el de los árboles muertos entre 127 y 743 m³ha-1. Además de las marcas de motosierra o hacha y de algunos descortezamientos, se encontró carbón en los árboles hacia la meseta de la ladera, lo cual indicó un desmonte por quema (tabla 1).
Tabla 1. Valores con errores típicos y rangos de las variables de estructura forestal más importantes
|
Variable |
Promedioe |
Rango Total |
|||||
|
Bahía El Águila |
Bahía del Indio |
Bahía San Nicolás |
Subsitio San Nicolás |
||||
|
Edada |
100.8 ± 10.4 |
104.3 ± 8.9 |
93.4 ± 8.0 |
124.5 ± 27.2 |
17 – 314 |
||
|
DAPb total |
20.9 ± 0.8 |
19.8±0.5 |
18.2 ± 0.4 |
28.8 ± 3.7 |
10 – 120 |
||
|
DAPb N. betuloides |
24.5 ± 1.2 |
20.3 ± 0.6 |
19.6 ± 0.5 |
41.1 ± 6.2 |
10 – 120 |
||
|
DAPb D. winteri |
14.8 ± 0.5 |
18.4 ± 0.9 |
15.0 ± 0.6 |
16.0 ± 0.8 |
10 – 50 |
||
|
Área basalc N. betuloides |
36.5 ± 4.1 |
41.0 ± 6.8 |
42.5 ± 4.7 |
42/23f |
11 – 75 |
||
|
Área basalc D. winteri |
8.8 ± 2.6 |
13.9 ± 4.5 |
4.9 ± 1.0 |
6/30 |
0 – 50 |
||
|
Área basalc árboles muertos derribados |
10.8 ± 2.0 |
13.5 ± 3.6 |
8.9 ± 2.7 |
10/34 |
0 - 35 |
||
|
Área basalc árboles muertos en pie |
4.6 ± 1,3 |
7.1 ± 2.2 |
3.3 ± 0.8 |
15/6 |
0 – 17 |
||
|
Volumend árboles en pie |
411.0 ± 94.1 |
529.2 ± 64.0 |
530.1 ± 103.5 |
348.8 / 1141.4 |
142 – 1141 |
||
|
Volumend árboles muertos |
217.2± 40.4 |
394.4 ± 70.0 |
271.5 ± 54.8 |
210.7 / 545.0 |
39 – 743 |
||
|
|
Principal |
Satélite izquierdo |
Satélite derecho |
||||
|
Área basalc N. betuloides |
39.1 ± 3.1 |
33.7 ± 2.8 |
40.9 ± 2.1 |
||||
|
Área basalc D. winteri |
10.1 ± 2.0 |
9.2 ± 1.7 |
8.3 ± 1.5 |
||||
Notas: a años; b diámetro en cm medido a 1.30 m de la altura del tronco; c en m2 ha-1; d en m3 ha-1; e media aritmética, fárea basal de N. betuloides y N. pumilio.
Fuente: Elaborada por los autores.
Actividad maderera y estructura forestal en Bahía San Nicolás
Se tomaron muestras en dos transectos: una con cuatro parcelas dentro de la franja del bosque costero, y otra con cinco parcelas, subiendo por detrás del antiguo edificio del aserradero. De las nueve parcelas, siete mostraron signos de tala. El DAP de todos los árboles de las parcelas del sitio osciló entre 10 y 68 cm y la edad oscilaba entre 28 y 234 años. Más de la mitad de los árboles barrenados (55%) eran del periodo posterior al abandono del aserradero a finales de 1949.
Figura 2. Distancia a la orilla de todas las parcelas con y sin talar

Nota: La caja naranja muestra el rango intercuartílico de la distancia a la orilla de todas las parcelas sin talar; la caja azul, el de todas las parcelas taladas. La mediana de la distancia a la costa está representada por la línea en negra en el centro de las cajas. Los puntos negros indican los valores atípicos.
Fuente: Elaborada por los autores.
Otras modificaciones culturales fueron: marcas de carbón en un tronco y varios descortezamientos. El área basal de N. betuloides y D. winteri osciló entre 31 y 63 m²ha-1, y de los árboles muertos entre 7 y 27 m²ha-1. El volumen de los árboles vivos era de entre 329 y 993 m³ha-1, y el de los árboles muertos entre 93 y 512 m³ha-1 (tabla 1). Los árboles del subsitio de bosque antiguo, aguas arriba del río San Nicolás, tenían entre 24 y 314 años. El DAP de todos los árboles, en las dos parcelas, osciló entre 15 y 120 cm. En una parcela de este subsitio, el área basal de N. pumilio fue mayor al de N. betuloides (12 y 11 m²ha-1), único caso en todas las parcelas estudiadas. El volumen de los árboles vivos varió mucho entre las parcelas, al igual que el volumen de los árboles muertos. No se encontraron signos de tala u otra intervención humana en ninguna de las parcelas (tabla 1).
Diferencias en la estructura a lo largo de los transectos
En todos los sitios, el factor principal que influyó sobre las variables de estructura fue la tala del último siglo. Su impacto se manifestó en el bosque en forma de tocones de tala remanentes, indicador de si había sido talado o no. La presencia de tocones se correlaciona fuertemente con la distancia de las parcelas a la costa (tabla 3). Las parcelas taladas se encontraron significativamente más cerca de la costa que las no taladas (tabla 2) y después de aproximadamente 500 m hacia el interior, no hubo más parcelas con signos de tala (figura 2).
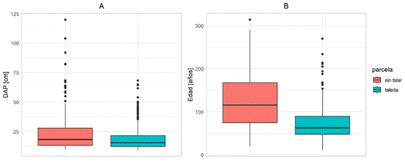
Entre las parcelas taladas y las no taladas hubo diferencias significativas en cuanto al DAP de los árboles y la distribución de la edad (tabla 2). Mientras que las parcelas previamente taladas tenían una estructura más uniforme en cuanto a edad y tamaño, con árboles más jóvenes y de menor DAP; las parcelas no taladas tenían un espectro más amplio de DAP y edades (figura 3). Esto también se reflejó en los promedios de la edad de los árboles y el DAP (total, N. betuloides y D. winteri), que fueron moderadamente correlacionadas con la distancia a la orilla (tabla 3). Aunque el volumen medio de los árboles muertos no fue significativamente diferente entre las parcelas taladas y no taladas, las áreas basales de los árboles muertos derribados y en pie, lo fueron. Ambas mostraron un valor significativamente mayor en las parcelas sin talar que en las taladas, y estaban fuertemente correlacionadas con la distancia a la orilla (tabla 2).
Tabla 2. Comparación de las variables de estructura forestal más importantes en parcelas taladas y sin talar
|
Variable |
Promedioe ± Error típico |
Diferencia talada – sin talar |
|||
|
Taladas |
Sin talar |
Prueba estadística |
Valor |
Valor p |
|
|
Edada |
81.8 ± 5.8 |
125.9 ± 8.1 |
U de Mann-Whitney |
W = 1480 |
<0.001 |
|
DAPb total |
18.5 ± 0.3 |
23.5 ± 0.9 |
U de Mann-Whitney |
W = 90128 |
<0.001 |
|
DAPb N. betuloides |
19.0 ± 0.4 |
24.8 ± 1.4 |
U de Mann-Whitney |
W = 47918 |
<0.001 |
|
DAPb D. winteri |
15.5 ± 0.5 |
16.9 ± 0.6 |
U de Mann-Whitney |
W = 8047 |
0.001 |
|
Área basalc N. betuloides |
40.0 ± 3.8 |
36.0 ± 5.5 |
U de Mann-Whitney |
W = 77 |
0.69 |
|
Área basalc D. winteri |
8.5 ± 2.6 |
13.7 ± 2.9 |
U de Mann-Whitney |
W = 42.5 |
0.04 |
|
Área basalc árboles muertos derribados |
9.8 ± 2.2 |
16.6 ± 2.5 |
U de Mann-Whitney |
W = 42.5 |
0.04 |
|
Área basalc árboles muertos en pie |
3.7 ± 1.0 |
9.3 ± 1.5 |
U de Mann-Whitney |
W = 25.5 |
0.003 |
|
Volumend árboles en pie |
483.2 ± 55.5 |
469.9 ± 87.9 |
t de Welch |
t(29) = -0.13 |
0.90 |
|
Volumend árboles muertos |
297.3 ± 45.4 |
336.9 ± 52.0 |
t de Welch |
t(29) = 0.57 |
0.57 |
|
Mayor distancia a la costa |
461 |
1792 |
U de Mann-Whitney |
W = 1 |
<0.001 |
Notas: a años; b diámetro en cm medido a 1.30 m de la altura del tronco; c en m2 ha-1; d en m3 ha-1; e media aritmética.
Fuente: Elaborada por los autores.
Figura 3. Diámetro a la altura del pecho (A) y Edad de árboles en parcelas taladas y sin talar (B)

Nota: Las cajas naranjas muestra los rangos intercuartílicos del DAP y de la edad de los árboles en las parcelas sin talar. Las cajas azules muestran los rangos intercuartílicos del DAP y de la edad de los árboles en las parcelas taladas. Las medianas están representadas por las líneas en negrita de cada caja y los puntos negros indican los valores atípicos.
Fuente: Elaborada por los autores.
Tabla 3. Correlación entre de las variables de estructura forestal más importantes y la distancia a la orilla de cada parcela
|
|
Prueba estadística |
Coeficiente |
Valor p |
|
Edada promediae |
Pearson |
r(28) = 0.48 |
<0.01 |
|
DAPb promedioe |
Pearson |
r(28) = 0.45 |
0.01 |
|
Área basalc N. betuloides |
Pearson |
r(28) = -0.18 |
0.36 |
|
Área basalc D. winteri |
Spearman |
r(28) = 0.54 |
0.01 |
|
Área basalc árboles muertos derribados |
Spearman |
r(28) = 0.55 |
0.002 |
|
Área basalc árboles muertos en pie |
Spearman |
r(28) = 0.66 |
<0.001 |
|
Volumend árboles en pie |
Spearman |
r(28) = 0.15 |
0.44 |
|
Volumend árboles muertos |
Spearman |
r(28) = 0.25 |
0.18 |
|
Presencia de tocones |
Spearman |
r(28)= -0.79 |
<0.001 |
Notas: a años; b diámetro en cm medido a 1.30 m de la altura del tronco; c en m2 ha-1; d en m3 ha-1; e media aritmética.
Fuente: Elaborada por los autores.
También se observó una diferencia significativa en el promedio del área basal de D. winteri entre las parcelas taladas y no taladas. Otra vez, el área basal fue mayor en las parcelas sin talar que en las taladas (tabla 2). Esta variable también tuvo una correlación positiva con la distancia a la orilla (tabla 3). En cuanto al área basal de árboles muertos derribados y el área basal de los árboles muertos en pie, ambas tuvieron una correlación moderadamente positiva con la distancia a la orilla, mientras que la correlación del volumen de los árboles muertos no fue significativa (tabla 3). No se encontraron diferencias significativas entre las áreas basales de las parcelas principales y las satélites (Anexo).
DISCUSIÓN
Estadísticamente, los tres sitios mostraron condiciones similares en cuanto su estructura forestal y el patrón general de explotación. Sin embargo, se observaron algunas particularidades en cada uno de ellos que sólo se pueden explicar al examinar detenidamente sus antecedentes con relación al uso del bosque.
El bosque de Bahía El Águila
De los tres sitios, Bahía El Águila es probablemente el que tiene la historia moderna de uso del bosque más larga y variada. Pero una cosa tiene en común la ballenera, el astillero y el aserradero; y es que su instalación y funcionamiento requería madera, que se extraía de los bosques adyacentes. El hecho de que hubiese muy pocos árboles que nacieron antes de que empezaran estas actividades, y aún menos en las parcelas que mostraron signos de tala, es un claro indicio de la tala intensiva que se realizó en el pasado. Aunque no se pudieron usar las imágenes aéreas para juzgar el antiguo estado del bosque a lo largo del transecto, a partir de la estructura del bosque actual, y las observaciones realizadas durante el trabajo en terreno, se pudo deducir que hubo un fuerte impacto a causa de la tala. El mismo se manifiesta notablemente en el paisaje forestal contemporáneo. Por lo tanto, no es casual que no se haya encontrado ningún signo de uso forestal kawésqar durante el trabajo en terreno, ya que probablemente fueron borrados durante este período de explotación industrial.
El bosque de Bahía del Indio
Teniendo en cuenta los registros sobre el colono y las fotografías aéreas de 1945/1946, se puede deducir que hubo tanto una explotación a escala industrial como una tala posterior a pequeña escala en forma de desmonte, para crear prados y para obtener madera de construcción y leña. Por lo tanto, existen al menos dos niveles de impacto sobre los bosques del sitio en épocas y escalas espaciales diferentes. Estos niveles también se superponen.
El primer nivel se reveló en el análisis de las imágenes aéreas, las cuales muestran el fuerte impacto de la tala industrial en la costa de este sitio. Esta corresponde a un patrón que se repite a lo largo de la costa sudoriental de la península de Brunswick. También, los tocones de gran diámetro que bordean la playa son un indicio de la deforestación histórica. La ubicación de los tocones, en lo que hoy es la playa, da cuenta de la extensión anterior del borde del bosque, y de cómo la pérdida del soporte radical favoreció la erosión. Es necesario realizar más análisis de los tocones para confirmar su edad y, en consecuencia, determinar en qué momento fueron talados.
El segundo nivel está relacionado a un impacto más reciente y se encuentra en la zona aledaña a la cabaña, que forma parte del bosque costero. En este lugar, se pueden apreciar 32 troncos que fueron ranurados de forma circunferencial en un extremo para el montaje de cadenas para su arrastre con bueyes. Cada uno tenía un diámetro de 60 cm y 4 m de longitud. Aunque estos troncos podrían ser producto tanto de la tala industrial como de las actividades del colono, datos dendrocronológicos del bosque adyacente muestran que este se mantuvo abierto hasta la década de 1980 (época en que el colono se vio obligado a abandonar el área). El árbol más antiguo de este bosque data de 1984, y los árboles vivos tenían diámetros bajos (promedio de 14.6 cm de DAP). Esto indica que el bosque se regeneró después del abandono del lugar. Es probable que el colono haya mantenido abierta el área aledaña a la cabaña, ya que se encontraron restos de alambrados y tranqueras, que dan testimonio de su uso como corral de animales.
También se apreció una clara diferencia en comparación con las parcelas taladas, lejanas a la costa, las cuales mostraron una edad promedio mucho más alta (98 años). En consecuencia, la gran densidad del bosque costero actual y la estructura homogénea y joven, puede explicarse por la fertilización del suelo mediante el estiércol del ganado. En su estudio del legado agropecuario en bosques templados secundarios. Blondeel et al. (2019) reportan que, luego de más de 70 años del establecimiento de la regeneración, se podían encontrar elevadas concentraciones de fósforo y nitrógeno en suelos forestales. Para explorar el vínculo entre la densidad del bosque costero de Bahía del Indio con la fertilización por su uso anterior, se requiere más investigación, particularmente de estudios del suelo.
El bosque de Bahía San Nicolás
Basado en el conocimiento de los autores, la única actividad industrial de uso del bosque en el sitio de San Nicolás fue el aserradero que funcionó allí hasta 1949. La fecha y las circunstancias de terminación de su funcionamiento permiten dos suposiciones: primero, que hubo un alto grado de deforestación que facilitó el deslizamiento de tierra que destruyó el edificio del aserradero; y segundo, que el bosque del sitio ha seguido un desarrollo mayoritariamente natural con poca o ninguna intervención humana desde hace más de 70 años. En cuanto a la primera hipótesis, aunque los deslizamientos de tierra pueden producirse también en bosques intactos y hay un sinfín de factores que influyen en la estabilidad de los taludes, generalmente se considera que la deforestación tiene un efecto desestabilizador que facilita los movimientos en masa (Lehmann et al., 2019). En cuanto a la segunda hipótesis, es probable que las intervenciones a pequeña escala, especialmente en los alrededores del camping, se produzcan periódicamente, y que también hayan aumentado en los últimos años debido a la mayor presión del turismo. En un estudio que abarcó un periodo de 32 años. Eagleston y Marion (2018) caracterizaron los fuertes impactos que el senderismo poco gestionado pudo tener en las áreas naturales aledañas a este. Comparando las dos transecto, se nota que el volumen de los árboles muertos era más bajo en el transecto cercano al campamento contemporáneo que el ubicado más lejos (225.7 ± 35.5 m3ha-1 y 308.2 ± 96.4 m3ha-1), lo cual podría ser resultado de la recolección de leña. Sin embargo, no se probó la relevancia estadística, debido al pequeño tamaño de la muestra (n=9).
Aunque no se encontraron registros de hallazgos arqueológicos en el sitio, sí se observaron varios descortezamientos que demuestran que hubo presencia kawésqar en la zona. Sin embargo, teniendo en cuenta el alto impacto de la tala y los procesos ecológicos a lo largo del tiempo, es probable que se hayan borrado la mayoría de sus rastros.
Las parcelas de bosque antiguo, ubicadas en el subsitio, hacia el interior de la península, deben ser consideradas desde otro un punto de vista. A juzgar por la distancia a la costa (1800 m aproximadamente), no es casual que no hubiera signos de tala. Pero tampoco de otra intervención humana, ya que los kawésqar en esta época eran un pueblo litoral y no solían aventurarse demasiado al interior del bosque, debido a las difíciles condiciones de estos (Acuña, 2013). Por lo tanto, hay que considerar este sitio del interior como un ejemplo de un desarrollo natural prolongado y sin intervención, más que una referencia de cómo podrían haber sido los bosques costeros antes de la explotación industrial y bajo el uso kawésqar. También se considera que las condiciones naturales entre parcelas costeras y las del interior son distintas. En una de las parcelas del subsitio, N. betuloides y N. pumilio eran codominantes, lo que indica que pertenece al segundo tipo forestal del área: Bosque mixto de N. pumilio – N. betuloides. Asimismo, se encontraron diferencias entre las dos parcelas del subsitio en todas las variables medidas; esto se debe probablemente al hecho de que una de las parcelas estaba ubicada cerca de una turbera, lo que podría explicar los valores relativamente bajos. Para poder caracterizar bien las condiciones de los bosques naturales sin historia humana de la península y sus variaciones entre sí, se requieren más investigaciones.
Patrones e impactos de la explotación forestal histórica
Resultado del presente estudio, se conoció que hubo muy pocas diferencias significativas entre las variables de estructura del bosque de los distintos sitios. Notablemente, el DAP promedio de D. winteri fue más alto en Bahía del Indio que en los otros sitios; lo mismo sucedió con el DAP de N. betuloides en Bahía El Águila. Los resultados de este estudio también mostraron que, el DAP de ambas especies fue más alto en parcelas no taladas, que en las taladas; por lo cual se podría considerar este resultado como un indicador de que los bosques de Bahía del Indio y Bahía El Águila han sufrido un menor impacto. Aun así, ninguna de las demás variables dio una diferencia significativa en comparación con los otros sitos. Es por ello, que es probable que el DAP que presentaron, en este caso, D. winteri y N. betuloides sean resultados de otros factores naturales o antrópicos.
Aunque se habían elegido los tres sitios por su diferente historia de uso del bosque, los resultados muestran que todos ellos fueron subjetos a una intensa tala en algún momento y que las mayores diferencias se encuentran en los patrones espaciales dentro de ellos. De hecho, la distancia a la costa resultó ser una variable explicativa más importante que el tipo de uso histórico del bosque, ya que estaba directamente correlacionada con el patrón de tala. Aparte de la distinción binaria de talado o no, la forma en que se talaron los bosques también parece haber cambiado con el aumento de la distancia a la costa y la subida de la ladera. Mientras que en las parcelas costeras no había árboles que anteceden las actividades de la explotación, en aquellas parcelas situadas más hacia el interior, con claros signos de tala, sí había árboles antiguos remanentes. De esto se puede deducir que: la tala a lo largo de la costa siguió un modelo de tala rasa; mientras que el floreo, es decir, la tala selectiva de los árboles más grandes y derechos fue el método preferido hacia el interior.
Es bien reconocido que las prácticas insostenibles de explotación forestal tienen implicaciones de gran alcance para los ecosistemas en los que se llevan a cabo, y que estas pueden afectarlos durante décadas y siglos. Esto es especialmente evidente en el caso de la tala rasa, pero también la tala selectiva puede alterar drásticamente la estructura del bosque e influir en los ecosistemas forestales de forma negativa (Albrich et al., 2021; Vásquez-Grandón et al., 2018). Los datos de este estudio sugieren que las parcelas en las que hubo tala, en algunas partes hace más de 100 años, todavía difieren estructuralmente de sus homólogas no afectadas por la tala con respecto a la edad y el tamaño de los árboles en pie, y también al área basal de los árboles muertos. En el caso de las parcelas donde hubo tala rasa, las diferencias eran fácilmente perceptibles. Los bosques actuales resultantes eran de un solo estrato y densos, formados por árboles de pequeño diámetro, con muy poca regeneración de Nothofagus spp. en el sotobosque y sólo pequeñas cantidades de árboles muertos de gran diámetro (figura 4).
Figura 4. Bosque secundario donde hubo tala rasa (izquierda) y árbol antiguo remanente (derecha)

Nota: Sotobosque constituido por regeneración de Drimys winteri (izquierda). Árbol antiguo deformado, sin valor maderero, en un bosque floreado (derecha).
Fuentes: Fotos tomadas por Jonathan Poblete y Lars Östlund.
Pero también, en las parcelas anteriormente floreadas, la distribución de los diámetros estaba sesgada hacia los diámetros más bajos, con los pocos árboles de mayor diámetro a menudo torcidos y deformados. Esto es algo frecuentemente observado en los antiguos bosques floreados, ya que sólo se cosechaban los árboles grandes y rectos y, por tanto valiosos, dejando atrás los ejemplares de menor valor económico, como se observa en la figura 4 (Vásquez-Grandón et al., 2018). Algunos de los resultados de esta práctica pueden ser una distribución diamétrica empobrecida, con una menor diversidad de especies arbóreas, la sobrerrepresentación de especies arbóreas secundarias, poca regeneración arbórea, y una falta de los importantes hábitats que ofrecen los árboles grandes; lo que en conjunto reduce la salud general del ecosistema (Vásquez-Grandón et al., 2018). Josefsson et al. (2010) comprobaron que hay efectos a largo plazo (>100 años) del floreo sobre los árboles muertos y sobre las especies dependientes del bosque antiguo en la zona boreal. Sin embargo, protección y restauración adecuadas pueden ayudar a recuperar rápidamente algunos de los valores del bosque antiguo (Albrich et al., 2021).
Aparte de estos impactos estrictamente ecológicos, se observaron algunos impactos culturales; el más importante fue la eliminación de los rastros del uso del bosque por parte de los kawésqar. Estos aprovecharon y manejaron los bosques de la zona durante los últimos seis o siete milenios. En unos sitios cercanos, el capitán Fitz-Roy, destacado explorador y científico inglés, comparó en 1831 los bosques ancestrales de los kawésqar con un «parque inglés» (Fitz-Roy, 1839), una analogía que da una referencia de cómo podrían haber sido los bosques de la zona antes de la explotación industrial. Por su parte Östlund et al. (2020), en un estudio realizado en la parte sudoccidental de la península, encontraron una diferencia significativa en las variables de estructura del bosque en la proximidad a los antiguos asentamientos kawésqar, los cuales indican que el paisaje forestal se parecía mucho más a un parque en épocas anteriores. También se encontraron un gran número de descortezamientos de origen kawésqar, cuya presencia estuvo muy limitada en la zona de este estudio debió, probablemente, a la explotación forestal moderna. Josefsson y Östlund (2011) describieron un fenómeno similar de borrado cultural del patrimonio sámi en los bosques boreales explotados del norte de Suecia. Sin embargo, los autores consideran que no se ha estudiado la pérdida de patrimonio cultural kawésqar en forma de tala de árboles con descortezamiento.
Conservación y restauración
Aunque las actividades de explotación del siglo pasado tuvieron un impacto muy fuerte en los bosques del sur de la península de Brunswick, solo forman parte de una historia ambiental mucho más larga. El paisaje actual es el producto de millones de años de procesos ecológicos, milenios de uso kawésqar del bosque y más de un siglo de actividades modernas. Cada proceso y uso dejó sus huellas en el paisaje, convirtiéndolo en un «espacio incesantemente remodelado» (Corboz, 1983). Esta complejidad puede considerarse un desafío para los esfuerzos de conservación, pero los promotores de la «teoría del palimpsesto» sostienen que esta complejidad también brinda una oportunidad para superar las dificultades conceptuales. La metáfora del palimpsesto hace referencia a un pergamino de la Antigua Grecia que se raspaba y se utilizaba una y otra vez. Con el tiempo, las escrituras pasadas reaparecían tenuemente, creando una coexistencia de diferentes escrituras de distintas épocas. La aplicación de este concepto a la gestión y conservación de los bosques de la península de Brunswick permite preservar y fomentar los valores naturales de la zona, al tiempo que se respeta y abraza su larga y diversa historia cultural (Layne, 2014). Además, este concepto permite dejar atrás el «síndrome prístino» y empezar a debatir conceptos basados en la «antropogénesis», la idea de que no toda la influencia humana es intrínsecamente mala y que las prácticas tradicionales de manejo ancestral pueden ser, beneficiosas para los esfuerzos de conservación y restauración (Fletcher et al., 2021).
Incorporar el concepto de palimpsesto a la restauración significa leer las huellas que los anteriores usos sostenibles del bosque dejaron e integrarlas en nuevas prácticas de gestión que respeten los retos que implica el cambio global. En concreto, esto puede hacerse mediante diferentes perturbaciones mediadas por el hombre que permitan restaurar y gestionar el ecosistema. El punto de vista subyacente es el que percibe al ser humano como un actor dentro de la naturaleza que altera drásticamente su ecosistema (Rivera-Núñez y Fargher, 2021). El palimpsesto no sólo sirve como base teórica para describir la naturaleza estratificada de los procesos ambientales, sino que también permite que coexistan enfoques antiguos y nuevos tal como el multidisciplinarios (Layne, 2014). Esto hace que esté muy abierto a compromisos y cambios de paradigma en debates de conservación cada vez más complejos.
En este marco teórico se fundamentan las siguientes recomendaciones para el manejo del área: los bosques estructuralmente empobrecidos y muy densos, de edad uniforme, ubicados en la franja costera, deben ser sometidos a varios raleos para permitir la regeneración de Nothofagus spp., intolerantes a la sombra, y promover el crecimiento de los árboles dominantes para estimular el desarrollo hacia un estado en el que el bosque sea mucho más abierto y tenga una estructura de edad y diámetro más diversa. La analogía del «parque inglés» de Fitz-Roy, a pesar de ser una descripción poco precisa, proporciona datos importantes para el establecimiento de objetivos de restauración, ya que es uno de los pocos documentos en existencia de la época que brinda informaciones sobre los bosques ancestrales de los kawesqár. Imitar el manejo kawésqar, con la intención de abrir el dosel del bosque con los objetivos de aumentar la heterogeneidad del paisaje y la biodiversidad forestal al crear nuevos nichos y hábitats (Rivera-Núñez y Fargher, 2021) y, por otro lado, reestablecer la manifestación kawésqar en el paisaje, que se perdió por las actividades de alto impacto tras la colonización del siglo XIX (Zegers et al., 2019). Los profesionales deben ser cuidadosos en el raleo, de manera que se promueva el Nothofagus pumilio y otras especies arbóreas inferiores (como Embothrium coccineum o Maytenus magellanica) que están presentes en el bosque, fomentando así no solo un bosque de múltiples estratos, sino también uno multiespecífico. Esto, sin duda, lo hará más resiliente al cambio global.
Teniendo en cuenta el tiempo transcurrido desde la última intervención en los bosques floreados y el impacto comparativamente bajo que tuvo la tala selectiva en la estructura forestal junto a la conectividad con bosques no talados, se ofrece a la sociedad una oportunidad real de recuperar un paisaje forestal contiguo con valiosas cualidades de bosques antiguos a gran escala geográfica. Por lo tanto, se recomienda la restauración pasiva en estas zonas, es decir, abstenerse de realizar intervenciones silvícolas.
Lo más importante ante cualquiera de estos esfuerzos de restauración es no dañar ningún patrimonio cultural en el bosque, por lo que los estudios arqueológicos exhaustivos de la zona deben preceder a cualquier intervención futura. Todos los árboles modificados culturalmente deben registrarse e incluirse en los planes de gestión y excluirse de cualquier actividad de raleo. Además, iniciativas educativas, como infografías y símbolos en los mapas de senderismo, no solo podrían contribuir a la protección de aquellos árboles y otros sitios arqueológicos, sino también a la concienciación de la sociedad sobre la presencia histórica de los kawésqar en el paisaje. Asimismo, deberían tomarse medidas educativas similares para informar sobre las ruinas de la ballenera de Bahía El Águila y los vestigios del aserradero de Bahía San Nicolás. Por último, es fundamental que todos los esfuerzos de restauración y conservación procuren incluir procesos participativos con los actores sociales vinculados al territorio, especialmente con los miembros del pueblo kawésqar que sostengan un vínculo ancestral con este territorio. Casos de Canadá y Nueva Zelandia brindan evidencia sobre el potencial que tiene la participación de pueblos originarios para mejorar tanto la gestión del área protegida, como para fortalecer la legitimidad y el reconocimiento entre la población local (Mason et al., 2022).
CONCLUSIONES
El impacto ambiental en el sur de la península de Brunswick fue generado principalmente por las actividades industriales de la primera mitad del siglo XX. El patrón general de explotación a lo largo de la costa fue la tala rasa y, hacia el interior de la península el floreo. Estadísticamente se encontraron pocas diferencias significativas entre las variables de estructura forestal de los tres sitios. Más pronunciadas fueron las diferencias entre parcelas taladas y no taladas dentro de cada sitio. En lo que refiere a los valores naturales, aunque la explotación tuvo un impacto muy fuerte sobre los bosques, considerando el tiempo transcurrido desde la última intervención y el impacto espacial limitado a los primeros 500 m de la franja costera, existe una oportunidad real de recuperar un valioso paisaje forestal contiguo a gran escala geográfica. Respecto a los valores culturales, tanto los vestigios modernos, como los descortezamientos indígenas requieren ser visibilizados y protegidos ante la creciente presión turística, ya que forman parte del patrimonio cultural del lugar. Todos ellos deberían ser incluidos en futuros planes de manejo que integren la conservación cultural en la protección ambiental.
REFERENCIAS BIBLIOGRÁFICAS
Acuña, A. (2013). Memoria del Pueblo Kawésqar a través de una Historia de Vida. Magallania, 41(1), 99-121. https://doi.org/10.4067/S0718-22442013000100005
Albrich, K., Thom, D., Rammer, W. y Seidl, R. (2021). The long way back: Development of Central European mountain forests towards old-growth conditions after cessation of management. Journal of Vegetation Science, 32(4), 1-13. https://doi.org/gnj7x6
Araya, L. (2020). Medio siglo de políticas públicas de conservación de la naturaleza en Chile (Primera Edición). Colegio de Ingenieros Forestales de Chile. https://acortar.link/ioRMMI
Asociación de Investigadores del Museo de Historia Natural Río Seco. (2017). Levantamiento arqueológico, análisis y montaje de los restos de la ballenera Bahía Águila para la puesta en valor del Museo Faro San Isidro. Edición del Autor.
Blondeel, H., Perring, M. P., Bergès, L., Brunet, J., Decocq, G., Depauw, L., Diekmann, M., Landuyt, D., Liira, J., Maes, S. L., Vanhellemont, M., Wulf, M. y Verheyen, K. (2019). Context-Dependency of Agricultural Legacies in Temperate Forest Soils. Ecosystems, 22(4), 781-795. https://doi.org/10.1007/s10021-018-0302-9
Clement, C. R. y Cassino, M. F. (2020). Landscape Domestication and Archaeology. En C. Smith (Editor), Encyclopedia of Global Archaeology (pp. 6431–6438). Springer Cham. https://doi.org/kmqf
Corboz, A. (1983). The land as a Palimpsest. Diogenes, 31(121), 12-34. https://doi.org/czrvkv
Denevan, W. M. (1992). The Pristine Myth: The Landscape of the Americas in 1492. Annals of the Association of American Geographers, 82(3), 369-385. https://acortar.link/JP1HhP
Dirección Meteorológica de Chile. (2023). Temperaturas Medias y Extremas en 30 Años. Estación Carlos Ibañez, Punta Arenas Ap. Productos Históricos. https://acortar.link/54XpRQ
Eagleston, H. A. y Marion, J. L. (2018). “Naturalness” in designated wilderness: Long-term changes in non-native plant dynamics on campsites, boundary waters, Minnesota. Forest Science, 64(1), 50-56. https://academic.oup.com/forestscience/article/64/1/50/4804514
Fitz-Roy, R. (1839). Voyages of the Adventure and Beagle. Proceedings of The Second Expedition, 1831-1836, under the Command of Captain Robert Fitz-Roy, R.N. (Volumen II). Henry Colburn. https://acortar.link/56Oi3m
Fletcher, M. S., Hamilton, R., Dressler, W. y Palmer, L. (2021). Indigenous knowledge and the shackles of wilderness. Proceedings of the National Academy of Sciences of the United States of America, 118(40), 1-7. https://doi.org/10.1073/pnas.2022218118
Fuenzalida, H. (1967). Geografía Económica de Chile. Clima. Corfo.
García-Piquer, A., Navarrete, V., Aguilera, N., Carracedo, R., Franch, A., García P., C., Ros-Sabé, E., Zegers, G., Prieto, A., y Piqué, R. (2021). En el mar interior de Última Esperanza: Dinámicas de ocupación y movilidad canoera en la isla Diego Portales (Magallanes, Chile). Latin American Antiquity, 33(4), 1-19. https://doi.org/10.1017/laq.2021.85
Harambour, A. y Barrena, J. (2019). Barbarie o justicia en la Patagonia occidental: las violencias coloniales en el ocaso del pueblo kawésqar, finales del siglo XIX e inicios del siglo XX. Historia Crítica, 71, 25-48. https://doi.org/10.7440/histcrit71.2019.02
Josefsson, T. y Östlund, L. (2011). Increased production and depletion: the impact of forestry on northern Sweden’s forest landscape. En H. Antonsson y U. Jansson (Eds.), Agriculture and forestry in Sweden since 1900 (pp. 338-353). Kungl. Skogs- och Lantbruksakademiens. https://acortar.link/0bhSM3
Josefsson, T., Olsson, J. y Östlund, L. (2010). Linking forest history and conservation efforts: Long-term impact of low-intensity timber harvest on forest structure and wood-inhabiting fungi in northern Sweden. Biological Conservation, 143(7), 1803-1811. https://doi.org/10.1016/j.biocon.2010.04.035
Layne, M. K. (2014). The Textual Ecology of the Palimpsest. Environmental Entanglement of Present and Past. Aisthesis. Pratiche, linguaggi e saperi dell’estetico, 7(2), 63-72. https://doi.org/10.13128/Aisthesis-15290
Lehmann, P., von Ruette, J. y Or, D. (2019). Deforestation Effects on Rainfall-Induced Shallow Landslides: Remote Sensing and Physically-Based Modelling. Water Resources Research, 55(11), 9962-9976. https://doi.org/10.1029/2019WR025233
Loos, J. (2021). Reconciling conservation and development in protected areas of the Global South. Basic and Applied Ecology, 54, 108-118. https://doi.org/gn56z4
Luebert, F. y Pliscoff, P. (2018). Sinopsis bioclimática y vegetacional de Chile (2a edición). Editorial Universitaria.
Martinic, M. (2006). Historia de la Región Magallanica (Tomos I-IV). Universidad de Magallanes.
Mason, C. W., Carr, A., Vandermale, E., Snow, B. y Philipp, L. (2022). Rethinking the Role of Indigenous Knowledge in Sustainable Mountain Development and Protected Area Management in Canada and Aotearoa/New Zealand. Mountain Research and Development, 42(4), A1-A9. https://doi.org/10.1659/mrd.2022.00016
Ministerio de Bienes Nacionales. (2006). Decreto 467 de 2006. https://acortar.link/XiGEJJ
Ministerio de Bienes Nacionales. (s.f.). Bien Nacional Protegido Cabo Froward. https://acortar.link/X83bCy
Morello, F. y San Román, M. (2012). Análisis y Diagnóstico Arqueológico. Línea de Base de Arqueología. Crisosto Arquitectos Consultores.
Olave-Solar, C., Santana, A., Butorovic, N. y Acuña, P. (2008). Variabilidad térmica en la región nororiental de la Península de Brunswick, Magallanes, Chile, empleando datos Landsat. Anales del Instituto de la Patagonia, 36(2), 5-12. https://doi.org/10.4067/s0718-686x2008000200001
Östlund, L. y Norstedt, G. (2021). Preservation of the cultural legacy of the indigenous Sami in northern forest reserves – Present shortcomings and future possibilities. Forest Ecology and Management, 502(15), 119726. https://doi.org/10.1016/j.foreco.2021.119726
Östlund, L., Zegers, G., Cáceres Murrie, B., Fernández, M., Carracedo-Recasens, R., Josefsson, T., Prieto, A. y Roturier, S. (2020). Culturally modified trees and forest structure at a Kawésqar ancient settlement at Río Batchelor, western Patagonia. Human Ecology, 48(5), 585-597. https://doi.org/10.1007/s10745-020-00200-1
Paul, T. S. H., Kimberley, M. O. y Beets, P. N. (2019). Thinking outside the square: Evidence that plot shape and layout in forest inventories can bias estimates of stand metrics. Methods in Ecology and Evolution, 10(3), 381-388. https://doi.org/10.1111/2041-210X.13113
Prieto, A., Stern, C. R. y Estévez, J. E. (2013). The peopling of the Fuego-Patagonian fjords by littoral hunter-gatherers after the mid-Holocene H1 eruption of Hudson Volcano. Quaternary International, 317(13), 3-13. https://doi.org/10.1016/j.quaint.2013.06.024
Quiroz, D. (2018). Una máquina maravillosa. Capitalismo, materialidades y la caza de ballenas en el extremo sur de Chile. Revista Chilena de Antropología, (37), 143-163. https://acortar.link/uTFv92
Rivera-Núñez, T. y Fargher, L. (2021). The concept of “palimpsest” in a reconceptualization of biodiversity conservation. Environmental Conservation, 48(1), 1-4. https://doi.org/kmtf
Rosenfeld, G., Mackenzie, R., Vidal, O., Muñoz, R., Simeonova, V., Rosenfeld, S., Osorio, M. y Santin, J. (2020). Turismo de naturaleza en el extremo meridional de la Península de Brunswick (Patagonia, Chile): de la improvisación a la planificación. Revista interamericana de ambiente y turismo, 16(2), 186-201. https://acortar.link/OG6Yxh
Ruíz y Doberti Ltda. (2008). Estudio de línea base a ejecutarse en terrenos fiscales con alto valor en biodiversidad ubicados en el sector de cabo Froward, península de Brunswick, Región de Magallanes y Antártica Chilena. Edición del Autor
Subsecretaría de Turismo. (2020). Ruta Patrimonial Cabo Froward. Ministerio de Bienes Nacionales. https://acortar.link/OzKTFA
United States Air Force. (1949). Fondo Documental. Fotografías aéreas USAF.
Vásquez-Grandón, A., Donoso, P. J. y Gerding, V. (2018). Forest degradation: When is a forest degraded? Forests, 9(11), 1-13. https://doi.org/10.3390/f9110726
Zegers, G., Arellano, E. y Östlund, L. (2019). Using forest historical information to target landscape ecological restoration in Southwestern Patagonia. Ambio, 49(4), 986-999. https://doi.org/10.1007/s13280-019-01232-8
Agradecemos a la Secretaría Ministerial de Bienes Nacionales de la región de Magallanes, por autorizar la ejecución del estudio. A Paulo Corti por facilitar el trabajo realizado en el marco del Convenio entre la Universidad Austral de Chile y la Universidad Sueca de Ciencias Agrarias. Agradecer a Benjamín y Miguel Cáceres por compartir ideas, comentarios y valiosos contactos, además del apoyo logístico a lo largo del estudio; a Jonathan Poblete y Sebastián Oyarzún por su apoyo en el terreno. A Agostina Moreno por su ayuda con la redacción en castellano y a Magdalena Fassl y Paula Blazina por la ayuda técnica con la dendrocronología. Agradecemos a la Universidad Sueca de Ciencias Agrarias por los fondos brindados a Lars Östlund y Leon Hauenschild.
Anexo. Diferencias de variable entre sitios y entre parcelas principales y satélites.
|
Diferencia entre sitiose |
|||
|
Variable |
Prueba estadística |
Valor |
Valor p |
|
Edada |
Kruskal-Wallis |
Χ2(2) = 5.32 |
0.38 |
|
DAPb total |
Kruskal-Wallis |
Χ2(2) = 2.94 |
0.23 |
|
DAPb N. betuloides |
Kruskal-Wallis |
Χ2(2) = 10.41 |
0.005 |
|
DAPb D. winteri |
Kruskal-Wallis |
Χ2(2) = 16.08 |
<0.001 |
|
Área basalc N. betuloides |
ANOVA |
F(2,27) = 0.59 |
0.63 |
|
Área basalc D. winteri |
Kruskal-Wallis |
Χ2(2) = 4.35 |
0.23 |
|
Área basalc árboles muertos derribados |
Kruskal-Wallis |
Χ2(2) = 2.00 |
0.57 |
|
Área basalc árboles muertos de pie |
Kruskal-Wallis |
Χ2(2) = 2.95 |
0.4 |
|
Volumend en pie |
ANOVA |
F(2.27) = 0.92 |
0.45 |
|
Volumend árboles muertos |
ANOVA |
F(2.27) = 1.63 |
0.21 |
|
Diferencia parcela principal – satélites |
|||
|
Área basalc N. betuloides |
ANOVA |
F(2.76) = 1.88 |
0.16 |
|
Área basalc D. winteri |
Kruskal-Wallis |
Χ2(2) = 0.09 |
0.95 |
Notas: a años; b diámetro en cm medido a 1.30 m de la altura del tronco; c en m2 ha-1; d en m3 ha-1; e diferencia entre los tres sitios principales, excluyendo el subsitio de San Nicolás.
Fuente: Elaborada por los autores.